椰子哥上海双飞姐妹花,村长路边小店小粉灯,杏吧男主最火的几个人名字

北 京 英 驰 科 技 有 限 公 司 
  • 1
  • 2
  • 3
  • 4
  • 5
  • ciras4
  • targas-1
  • FMS-300
  • 全面生态增温系统
  • 液相光合荧光测量
联系我们
  • 联系人:苏先生

    手   机:18612706349

    电   话:010-57297418

    传   真:010-57297418

    邮   箱:suylinchcn@163.com

    地   址:北京市北京经济技术开

                 发区荣华中路8号院13

                 号楼10层1111

    邮   编:100176


人为变暖条件下北极土壤细菌群落的最适生长温度升高
2023-9-8
来源:英驰科技
点击数: 2734          作者:英驰科技
  • [科研前线丨EGM-5]人为变暖条件下北极土壤细菌群落的最适生长温度升高

     温度和土壤微生物过程(如生长和呼吸)速率之间的功能关系,在不同地理区域之间存在显著差异。温度响应和原位温度之间的这种相关性被称为温度适应。未来北极的气候变暖可能会增加土壤碳储量对微生物分解的脆弱性。然而,目前还不确定在气候变暖的北极地区,分解速率会发生多大程度的变化,因为长期的土壤变暖可能会导致细菌群落的温度适应。


    为了探究当北极土壤暴露在实验性气候变暖环境中时,土壤细菌群落是否会发生温度适应,荷兰阿姆斯特丹生命与环境研究所James T. Weedon团队对来自从亚北极到高北极的4个不同研究地点的8种土壤进行了孵化实验,探究孵化温度对北极土壤细菌群落的温度-生长关系和群落组成的影响。研究结果“Optimal growth temperature of Arctic soil bacterial communities increases under experimental warming”发表在Global Change Biology(IF=13.211)杂志上。

    表1 初始土壤的土壤特征

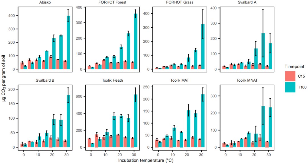
    作者使用美国PP Systems公司生产的便携式土壤碳通量测定系统EGM-5测定了样品的土壤呼吸速率。研究发现,土壤呼吸速率随着孵化温度的升高而增加,且在8种土壤类型之间存在差异,在10°C下变化范围为0.25~2μg?1 g?1day。在0℃和30℃培养的土壤中,100天后产生的二氧化碳累积量的变化系数为14-69,这取决于土壤类型(图1)。在C15中,不同土壤类型的最小和最大累积呼吸之间的差异减少到1.44~2.99倍。孵化温度与C15内产生的CO2累积量之间存在微弱的相关性(图1),但当排除0°C下的土壤时,这种相关性不再显著。 


    图1 在0-30°C之间培养的8个北极和亚北极地点土壤样本中测量的平均累积呼吸(μg CO2 g?1 soil)。T100:100天孵化后的累积呼吸;C15:在选定的时间点确定的累积呼吸,使呼吸量大致等于在30°C下孵化的样品15天后的累积呼吸量

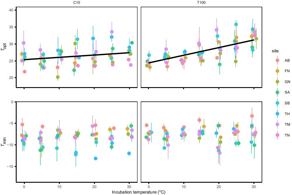
    细菌群落的温度-生长关系受到孵化温度的影响。Topt(最佳生长温度)随着孵化温度的升高呈线性增加趋势(图2)。与C15样品相比,T100样品的Topt增长明显更快,孵化温度每升高1°C分别增加0.27°C±0.039(SE)和0.07±0.028°C。在T100中,生长温度范围(Tmax?Tmin)每°C的孵化温度增加了0.14°C,但在C15中,生长温度范围在整个孵化梯度上没有显著差异。然而,从0到30°C,T100温度下的微生物生长率显著下降了36.2%。总体而言,温度和采样力矩都会影响Topt和Tmax,而Tmin没有显著变化,导致了更广泛的温度生长范围(表2)。

     

    图2 温度-生长函数估计参数(上面板:理论最低生长温度Tmin;下面板:理论最佳生长温度Topt)与土壤孵化温度之间的关系。 

    表2温度-生长关系参数的回归结果

    同时,本研究还发现孵化温度影响了T100和C15两个采样时刻的细菌群落组成,8种土壤类型中有6种表现出土壤细菌群落组成随孵化温度的显著变化(图3a)。 

    图3 细菌群落沿培养温度梯度的动态变化

    虽然总体细菌群落组成沿孵化梯度发生了显著变化,但在门或科水平上,土壤中的丰度没有显示出明确的分类模式,缺乏常见的温度响应物种(图4)。 

    图4 细菌扩增子序列变体(ASVs)的差异丰度分析,以每摄氏度孵化温度的对数倍差显示(点的颜色)。

    北极土壤细菌群落在人为变暖条件下的温度适应表明,微生物对全球变暖的反应可能会影响北极陆地地区的碳循环。然而,将温度适应与特定物种联系起来仍然是一个挑战,这些物种可以作为生物指标来理解和预测土壤群落温度适应的功能影响。此外,我们建议将温度-生长关系的变化纳入地球系统模型,以评估其对土壤碳循环的潜在影响程度。

相关文章
  • 暂无信息
热门评论
  • 暂无信息

验证码: 验证码,看不清楚?请点击刷新验证码
北京英驰科技有限公司 2019-2031 版权所有 京ICP备14007738号
扫描一下
主站蜘蛛池模板: 当雄县| 德安县| 汝城县| 灵璧县| 孝义市| 新郑市| 射洪县| 太仓市| 两当县| 望奎县| 桐乡市| 苗栗市| 桂阳县| 沁水县| 上林县| 木里| 南宫市| 揭西县| 乌兰县| 宿迁市| 诸暨市| 和静县| 衢州市| 洪雅县| 平南县| 临武县| 洪泽县| 利川市| 秦皇岛市| 花莲市| 丘北县| 灵寿县| 徐闻县| 铜山县| 桑植县| 松滋市| 兴安盟| 香港 | 乌恰县| 阳江市| 武隆县|