联系人:苏先生
手 机:18612706349
电 话:010-57297418
传 真:010-57297418
邮 箱:suylinchcn@163.com
地 址:北京市北京经济技术开
发区荣华中路8号院13
号楼10层1111
邮 编:100176
高速CO2浓度梯度技术——极速测定A/Ci响应曲线
多年以来研究者一直采用稳态A/Ci响应曲线技术对植物光合状态进行探索研究。激动人心的是PP Systems公司通过“High-Speed CO2 Ramping Technique”快速CO2浓度梯度技术实现了在极短的时间内完成可与常规方法媲美的A/Ci响应曲线。CIRAS-3可在5分钟内生成A/Ci响应曲线!实际测量生成时间主要取决于研究者所使用的设置及其所关心的参数。
CIRAS-3具备在快速调控CO2浓度过程中同步持续的记录各项光合数据的能力。该技术使得所有CIRAS-3均可进行多级响应曲线的测定。目前线性CO2浓度响应曲线成为新的热点,PP Systems公司新近发布了新版的PC端脚本编辑器,方便用户通过简单操作即可建立线性CO2浓度曲线并同步测量光合数据。
本文详尽介绍了测定快速A/Ci响应曲线的方法步骤,整个操作过程含以下步骤:
1 创建自动响应曲线脚本文件;
2 进行“存储差分平衡”(Stored Diff Bal);
3 响应曲线基线的测定;
4 试验样品测定;
5 数据处理。
一、创建自动响应曲线脚本文件
1)创建快速A/Ci响应曲线需使用PP Systems公司最新的CIRAS-3_PC端软件:CIRAS-3 Utility,软件版本需高于2.0(如图);
2)打开软件点击File > Open Scripts Folder,弹出对话框选择新建脚本存储位置,默认存储位置为User\MyDocuments\PPSystems\Ciras3_PC_Utility\Response;
3)弹出对话框为标准脚本编辑器界面,勾选左上角Ramp选项,打开新版线性脚本编辑器,即进入默认脚本Default RAMP编辑窗口;
4)编辑起始CO2浓度(CO2 Start)、终止CO2浓度(CO2 Stop)、响应曲线时间(Ramp Time),以及其它试验参数;
5)更改参数后更新按钮将高亮蓝色标注,点击更新按钮(Update Levels)更新试验参数,按钮恢复灰色;
6)对话框下方表格中Record Interval显示为1,意为每次记录间隔记录1次数据或每1.6秒记录一次数据;
7)点击File > Save As保存脚本文件。
8)将脚本文件导入CIRAS-3主机,在CIRAS-3主机上点击Operations(F1) > Rec Options(F2) > Edit Rsp Crv(F5) > Transfer(F5) >选中脚本文件 > Import(F2)导入CIRAS-3内部存储器Internal Memory Files即可。
脚本文件创建教学视频(详见官网视频)
二、存储差分平衡Stored Diff Bal
每天实验前均需在CIRAS-3预热后进行存储差分平衡,存储差分平衡结果可维持8~12小时,当天未关机状态下直至第二天无需重新进行存储差分平衡。
过程详见如下视频:
三、响应曲线基线的测定
测定响应曲线基线时,应合上PLC3叶室且不夹叶片!
CIRAS-3主机选择Operations(F1) > Rec Options(F2)进入记录模式功能页,选择自动响应曲线记录模式Response Curves,选择应用上传的线性脚本文件,设置最终数据存储位置后即可开始基线测定。
无叶片(空叶室)响应曲线基线可稳定4小时以上,如当天试验参数无变化则无需进行重做。
四、试验样品测定
选择样品叶片,叶室夹好后,如步骤三中操作进行即可。如周围环境与叶室设置的微环境差异较大时,强烈建议预留部分时间使叶片适应叶室微环境后再进行线性自动响应曲线的测定。
五、数据处理
使用Excel即可方便的进行数据处理!
1)导出数据,点击Operations(F1) > RecOptions(F2) > Transfer Data(F6)导出基线响应曲线及试验样品线性响应曲线数据;
2)打开基线数据文件,复制基线净光合速率A数据;
3)打开样品线性响应曲线数据文件,将基线净光合速率A数据复制于该文件的空白列中;
4)如图计算实际净光合速率:即图中Actual A = ramp A (Col Y)- empty A;
实际净光合速率(Actual A)=响应曲线净光合速率(ramp A;Y列)-基线净光合速率A(empty A)
注:实际真实数据测定时有延迟,通常始于第20行;
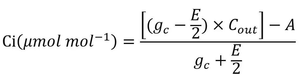
5)使用新计算出的实际净光合速率及其它参数(CO2a、gs和E)重新计算真实胞间CO2浓度(Ci):
其中gc为CO2总气传导率:
[1.585为CO2和H2O在空气中的扩散率;1.37为CO2和H2O在边界层中的扩散率;rs=1/gs;rb为边界层阻力]
6)选中20行后的A/Ci数据,插入散点图即得快速A/Ci响应曲线图。
CIRAS-3高速A/Ci响应曲线测定结果是否可靠、精准?
CIRAS-3的高速A/Ci响应曲线与传统点对点稳态测定方法所测定拟合结果匹配度高,可靠、精准,值得拥有您的信赖!

· 黑点:非稳态高速A/Ci快速响应曲线
· 红点:传统点-点稳态A/Ci测定方法,每点稳定约2min
·典型C3植物大豆(上图):光强PAR 1500 μmol m-2 s-1 ;流速300 ml/min;参比CO2浓度在7min内由50 ppm升至500 ppm;传统方法耗时约22min;
· 典型C4植物狗尾草(下图):光强PAR1500μmol m-2 s-1 ;流速300 ml/min;参比CO2浓度在10min内由100 ppm升至1000 ppm;传统方法耗时约22min;
暂无信息
